通过采用高纯度键合试剂,最大限度实现酰胺基团覆盖
查看产品
可用于多肽,蛋白,酸性、中性和碱性有机化合物,以及药物分子等的分离
查看产品
可用于分离糖类、核苷酸、碱性有机化合物以及许多药物分子等
查看产品
可用于多肽,蛋白,以及极性药物分子等的分离
查看产品
可用于分离极性和碱性有机化合物,如维生素、类固醇等
查看产品
分离具有强极性的碱性、中性和酸性化合物
查看产品
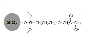
固定相上均匀的聚合键合涂层使其在各种分离条件下都具有良好的稳定性
查看产品
为各种有机化合物如芳香族或脂肪族羧酸和磺酸等提供高效和高选择性的分离
查看产品