糖的"捕捉手":硼酸亲和层析及FAQ解析
硼酸亲和层析技术,作为糖分子的“精准捕手”,凭借其高特异性、可逆性与通用性,已成为糖科学研究的“有效工具”。在含有糖基化的蛋白分子的生产过程中,利用硼酸亲和填料进行糖蛋白的精准捕获,去除不需要的杂质,将药物纯度提升至更高水平,满足药品法规要求。
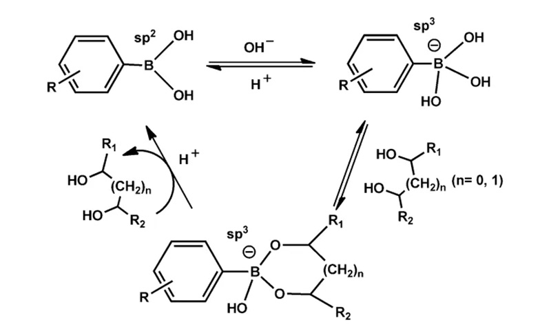
“捕捉手”怎么抓住糖蛋白?——分子层面的“锁-钥”作用
硼酸亲和的核心,是一场“精准配对”——硼酸基团和糖蛋白中的“特殊结构”的特异性结合。
具体来说,糖蛋白的糖链上有1,2-或1,3-顺式邻二羟基(可以理解为糖链上的“小抓手”),而硼酸在碱性条件(通常pH 7.0~9.0)下变成带负电的“四价硼酸根”会捕获“小抓手”,形成稳定的五元或六元环状复合物,把糖蛋白牢牢“抓”在填料上。
洗脱时,只要调整条件就能“解锁”:如降低pH(比如用pH <6.0的缓冲液),使其结合力减弱,或者加甘露醇、山梨醇这类含顺式邻二羟基的物质(“竞争钥匙”),把糖蛋白“挤”下来。整个过程既不用复杂的试剂,又能特异性靶向糖蛋白,这也是它在实验中受欢迎的核心原因[1]。

图1. 硼酸与含邻二醇化合物相互作用的示意图[1]
“捕捉工具”怎么选?——亲水性聚合物基质亲和填料
硼酸亲和技术的效果,很大程度上取决于“载体”,即搭载硼酸基团的“骨架”——填料基质。聚合物基质机械强度高,能耐受更高流速,适合工业级大规模纯化。
pg游戏 Monomix HC60-Boronate硼酸亲和填料,以亲水性单分散聚甲基丙烯酸酯为基质,均一性好(接近单分散颗粒),抗压性强,选择性高,具有良好的物理化学稳定性,填料表面具有高度亲水性,最大程度地避免与生物类样品的非特异性吸附,山梨醇动态结合载量≥30 μmol/mL,广泛适用于糖蛋白、核苷酸、多糖等生物样品的精纯阶段。
表1. Monomix HC60-Boronate硼酸亲和填料的技术参数

实验踩坑?——这些问题有解法
硼酸亲和层析的一般步骤包括:
01 样品准备
将待纯化的糖蛋白样品在碱性缓冲液中稀释,确保顺式二醇基团与硼酸基团充分结合。
02 平衡
将层析柱用上述缓冲液平衡至稳定状态,以确保上样时样品能够均匀分布。平衡液一般选用磷酸盐,甘氨酸等。
03 上样
将待纯化的样品加入层析柱中,让配基与目标分子结合。建议结合速度4-6 min驻留时间。
04 洗杂
用适当的缓冲液冲洗层析柱,去除未结合的杂质。
05 样品洗脱
通过改变洗脱条件,如改变pH值,离子强度或添加竞争性配体,使目标分子与配基分离。可以使用pH<5.0的甘氨酸或醋酸盐缓冲液降低pH值进行洗脱。若在酸中蛋白质不稳定,可以使用中性或者偏碱性含有顺式二羟基小分子,例如山梨醇、甘露醇的洗脱液。
06 层析柱再生
一般使用0.1-0.5 M NaOH,对层析柱进行再生,以便进行下一次实验。
常见问题解答(FAQ)
Q1· 杂蛋白吸附多,目标蛋白纯度低
可能原因:层析填料对杂质有离子、疏水等次级作用力,导致杂蛋白“粘”在上面。
解决方法:
调整结合缓冲液pH到8.0左右(大多数糖蛋白的最佳结合pH),避免pH过高(>10)导致蛋白变性;
在缓冲液里加0.05%-0.1%Tween-20(表面活性剂),减少疏水吸附,或者加50-100 mM NaCl,用盐离子“冲掉”杂蛋白。
Q2· 目标蛋白洗脱不下来,收率低
可能原因:硼酸与糖链结合力太强,或者洗脱液浓度不够。
解决方法:
把洗脱液pH降到4.0以下(比如0.1 M乙酸缓冲液),或者洗脱液中加0.1-1.0 M甘露醇/山梨醇(竞争剂),增强洗脱效果;
洗脱时放慢流速,使洗脱液和填料充分接触,避免出现目标蛋白洗脱不完全的情况。
Q3· 填料用几次就“失效”,载量下降
可能原因:填料上的硼酸基团脱落,或残留的蛋白未洗净,“掩盖”了配基。
解决方法:
每次用完后,先用0.1-0.5 M NaOH洗1-2个柱体积(去除残留蛋白),再用纯水洗到中性,最后用20%乙醇保存,避免使用强酸强碱长时间浸泡;
选择“交联型硼酸填料”(比如硼酸基团和载体之间有长链连接),基团不容易脱落,可有效延长使用寿命。
订购信息

注:包装规格为1 L,5 L, 10 L, 50 L,预装柱规格为1 mL, 4.2 mL, 5 mL
*参考文献:
[1]Li D, Chen Y, Liu Z. Boronate affinity materials for separation and molecular recognition: structure, properties and applications. Chem Soc Rev. 2015 Nov 21;44(22):8097-123. doi: 10.1039/c5cs00013k.


